今天我們重溫一下傳輸線理論。微波傳輸線理論是微波技術最重要的基礎之一。傳輸線理論主要包括:傳輸線方程,傳輸狀態,傳輸矩陣。

微波設計最重要的就是各種各樣微波傳輸線的設計,我們在設計中經常用到的微博傳輸線包括;同軸線,帶狀線,微帶線和波導。

我們先來看一下傳輸線方程,這個顧名思義,就是描述傳輸線狀態的方程,也叫做電報方程。這個方程的基礎是長線效應:也就是當線長與波長相比擬的時候,就必須考慮微波的波動性,這個時候就需要用分布參數的方法來分析傳輸線的傳輸狀態,其等效電路圖如下圖所示
這個時候,傳輸線上電壓和電流均是傳輸距離和時間的函數。根據傳輸線上的等效電感,電容和電阻,可以得到電壓和電流的關系如下:當Δz→0,就可以得到下面方程式,這個方程就是均勻傳輸線的方程。進而,假設傳輸線為無耗傳輸線,即電阻R=0,導納G=0,我們就可以進一步簡化傳輸線方程為:按照麥克斯韋推導電磁波波動方程的方法,我們對上式再求導,就可以得到:我們再回憶一下平面電磁波的波動方程是什么呢?將傳輸線方程和平面電磁波方程對比,發現是不是很像?長線效應就是這么神奇,電流和電壓在長線上的傳輸狀態和平面電磁波在自由空間的傳輸狀態是不是很類似。
根據上文中傳輸線上電壓和電流的通解,我們知道,在任何時間,任何位置,傳輸線上的電壓和電流都是入射波和反射波的疊加。
這個時候就引入了描述傳輸線上傳輸狀態的幾個參量:反射系數,特征阻抗,駐波比等。反射系數比較好理解,就是反射波和入射波的比值。反射系數的主要性質如下根據傳輸線電壓電流的方程,我們可以傳輸線的狀態分為三種:2,全駐波狀態,即傳輸線上入射波和反射波相等,互相抵消。
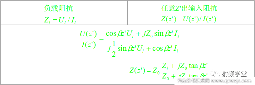
這個時候就引入了描述傳輸線上傳輸狀態的幾個參量:反射系數,特征阻抗,駐波比等。反射系數比較好理解,就是反射波和入射波的比值。反射系數的主要性質如下我們直接給出傳輸線的矩陣解,詳細過程可以參考《簡明微波》講義第5講
這一節的傳輸線理論學習,主要參考梁昌洪老師的《簡明微波》。